Highlight 3
Mengenal Garis Moving Average di Dalam Chart
Moving Average, atau juga disingkat MA, adalah garis yang didapat dari perhitungan harga sebelum hari ini, yang menghitung pergerakan harga rata-rata dari suatu aset dalam suatu rentang waktu tertentu.
Misalnya dalam rentang 5 hari (1 minggu), 20 hari (1 bulan), 60 hari (3 bulan), maupun 120 hari (6 bulan). Jadi dapat dikatakan Moving Average 60 berarti pergerakan harga 3 bulan ke belakang. Berikut adalah beberapa jenis MA yang dapat kita gunakan untuk membantu dalam menganalisa harga.
Jenis-jenis Moving Average Untuk Menganalisa Harga
#1 Simple Moving Average
Simple Moving Average (SMA) adalah aritmatika Moving Average yang dihitung dengan menambahkan harga penutupan aset untuk sejumlah periode waktu dan kemudian dibagi sejumlah periode waktu tersebut.
Dalam SMA, data yang dimasukkan adalah sama bobot. Ini berarti bahwa setiap hari dalam kumpulan data memiliki tingkat kepentingan yang sama dan berbobot sama. Karena setiap hari baru berakhir, titik data yang tertua dibuang dan yang terbaru ditambahkan.
SMA dapat dirumuskan sebagai berikut:

Mari kita ambil contoh kasus, misalnya harga sebuah aset dalam 15 hari berturut-turut adalah: 20, 24, 22, 21, 20, 18, 17, 22, 26, 30, 31, 34, 33, 30 dan 28. Dengan perhitungan rumus di atas, maka kita akan mendapatkan nilai SMA-nya sebagai berikut:
| Hari | Closing | SMA 5 |
|---|---|---|
| 1 | 20 | – |
| 2 | 24 | – |
| 3 | 22 | – |
| 4 | 21 | – |
| 5 | 20 | 21,4 |
| 6 | 18 | 21 |
| 7 | 17 | 19,6 |
| 8 | 22 | 19,6 |
| 9 | 26 | 20,6 |
| 10 | 30 | 22,6 |
| 11 | 31 | 25,2 |
| 12 | 34 | 28,6 |
| 13 | 33 | 30,8 |
| 14 | 30 | 31,6 |
| 15 | 28 | 31,2 |
Dengan mengetahui nilai SMA-nya, maka dapat dibuat grafik sebagai berikut:

#2 Weighted Moving Average
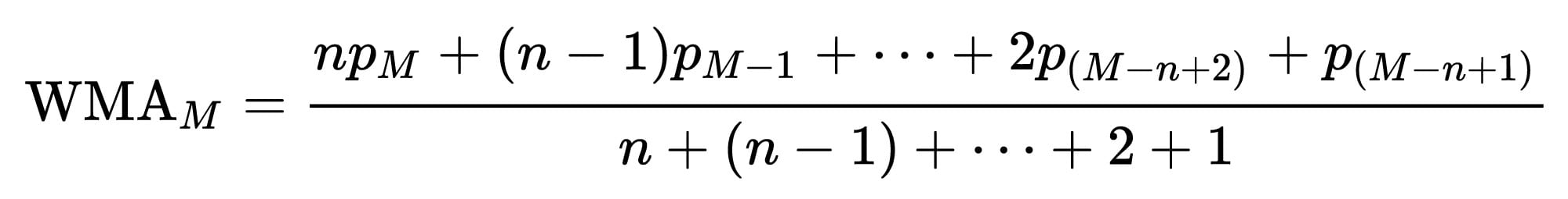
Weighted Moving Average adalah usaha untuk memforecast dengan beberapa data terakhir dengan memberikan bobot yang berbeda-beda. WMA kurang lebih memiliki kemiripan dengan SMA, kecuali dalam hal memberikan bobot pada data yang terbaru. Sama seperti SMA, WMA juga setiap harinya membuang harga penutupan yang tertua dan menambahkan yang terbaru.
WMA mengalikan faktor untuk memberikan bobot yang berbeda untuk data pada waktu yang berbeda. Dalam sejumlah (n) hari, WMA hari terbaru memiliki berat (n), (n) terbaru kedua – 1, dll, hingga bobotnya ke satu.
WMA dapat dirumuskan sebagai berikut:

Misalnya dengan contoh yang sama seperti simulasi SMA di atas, dengan perhitungan rumus WMA di atas, maka kita akan mendapatkan nilai WMA seperti tabel berikut:
| Hari | Closing | SMA 5 | WMA 5 |
|---|---|---|---|
| 1 | 20 | – | – |
| 2 | 24 | – | – |
| 3 | 22 | – | – |
| 4 | 21 | – | – |
| 5 | 20 | 21,4 | 21,2 |
| 6 | 18 | 21 | 20,1 |
| 7 | 17 | 19,6 | 18,7 |
| 8 | 22 | 19,6 | 19,5 |
| 9 | 26 | 20,6 | 21,7 |
| 10 | 30 | 22,6 | 24,8 |
| 11 | 31 | 25,2 | 27,6 |
| 12 | 34 | 28,6 | 30,5 |
| 13 | 33 | 30,8 | 32 |
| 14 | 30 | 31,6 | 31,7 |
| 15 | 28 | 31,2 | 30,5 |
Dengan mengetahui nilai WMA-nya, maka dapat dibuat grafik sebagai berikut:

#3 Exponential Moving Average
Exponential Moving Average (EMA) adalah jenis MA yang menyaring data secara infinite, dimana data-data lama tidak ada yang dibuang melainkan hanya dikurangi bobotnya secara eksponensial, namun bobotnya tidak sampai nol.
EMA memiliki kemiripan dengan WMA dalam hal membedakan bobot data antara data terdahulu dan yang terbaru, dimana dengan perhitungan ini, EMA dan WMA sama-sama lebih sensitif dengan pergerakan harga saham dibandingkan dengan SMA.
EMA dapat dirumuskan sebagai berikut:

Misalkan dengan contoh yang sama seperti simulasi SMA di atas, dengan perhitungan rumus EMA di atas, maka kita akan mendapatkan nilai EMA seperti tabel berikut:
| Hari | Closing | SMA 5 | WMA 5 | EMA 5 |
|---|---|---|---|---|
| 1 | 20 | – | – | – |
| 2 | 24 | – | – | – |
| 3 | 22 | – | – | – |
| 4 | 21 | – | – | – |
| 5 | 20 | 21,4 | 21,2 | 17 |
| 6 | 18 | 21 | 20,1 | 17,3 |
| 7 | 17 | 19,6 | 18,7 | 17,2 |
| 8 | 22 | 19,6 | 19,5 | 18,8 |
| 9 | 26 | 20,6 | 21,7 | 21,2 |
| 10 | 30 | 22,6 | 24,8 | 24,1 |
| 11 | 31 | 25,2 | 27,6 | 26,4 |
| 12 | 34 | 28,6 | 30,5 | 28,9 |
| 13 | 33 | 30,8 | 32 | 30,3 |
| 14 | 30 | 31,6 | 31,7 | 30,2 |
| 15 | 28 | 31,2 | 30,5 | 29,5 |
Dengan mengetahui nilai EMA-nya, maka dapat dibuat grafik sebagai berikut:

Dari penjelasan diatas yang kita dapatkan pengertian bahwa weighted moving average adalah metode yang menggunakan data dengan periode terakhir sebagai data historis untuk melakukan prakiraan chart.
Nah, itu dia jenis-jenis moving average di dalam chart, hal ini penting untuk Anda ketahui dan kuasai jika ingin dapat menganalisis keadaan pasar kripto. Pasar crypto merupakan pasar yang dinamis, dengan perkembangan teknologi dan blockchain yang semakin berkembang, mulai banyak bermunculan sistem-sistem baru di dalam ekosistem blockchain.
Mulai dari CeFi, DeFi, bahkan gabungan dari kedua hal itu (CeDeFi). Gerakan DeFi sejauh ini merupakan tren yang paling berdampak dalam ekosistem crypto dan blockchain dan telah dikenal sebagai salah satu cara penggunaan paling populer sejak 2019.
DeFi adalah sistem keuangan terbuka yang dibangun di atas blockchain yang bertujuan untuk menghadirkan layanan keuangan terbuka yang memungkinkan partisipasi dari semua tingkat investor tanpa adanya pihak sentral yang memegang keseluruhan dana, mirip sebagai pasar keuangan terbuka. Di mana pembeli bertemu dengan penjual langsung tanpa adanya perantara yang menengahi transaksi.
Kepopuleran DeFi pun mendorong pertumbuhan token-token yang berbasis DeFi. Tidak terkecuali Indonesia, Tokocrypto dengan Toko Token yang dibangun di atas Binance Smart Chain ini merupakan project DeFi pertama di Indonesia dan memiliki tujuan untuk memberi kemudahan kepada masyarakat yang belum memiliki akses ke fasilitas layanan perbankan.
Token TKO ini yang nantinya akan menjadi platform penukaran token dengan berbagai macam utilitas dan kemudahan bagi para pengguna nantinya. Penasaran kan dengan Token TKO ini? Yuk cari tau selengkapnya di sini!
-
Bitcoin News6 days agoAnalisa Harga BTC Hari Ini: Bitcoin Naik ke $80K, Momentum Menguat
-
Altcoin News6 days ago5 Altcoin Potensial di Mei 2026, LINK-SUI Masuk Radar Trader
-
Market5 days agoTrump Serang Powell, Sebut Suku Bunga Tinggi Jadi Bencana untuk AS
-
Market6 days agoSinyal Kripto 4 Mei 2026: Analisis Teknikal dan Proyeksi Pasar

